At 9.30 this on this lovely late September morning I opened a couple of windows to let a breeze in. But the thin net curtain scarcely moved. Returning to my seat, I looked at the tallest branches of the giant plane tree in the park across the way. No movement at all. “Wind power is probably performing as expected,” I thought. A quick visit to Gridwatch showed that the output from wind at that moment was 1.34 GW, less than 5% of demand (>50% of which was being supplied by suddenly expensive gas).
Unreliable. Intermittent.
Words (among others) that have been used to describe wind power. Everyone knows that wind power is intermittent – sometimes it produces enough, sometimes too much, and sometimes too little. How important is this? Most of us do not see the present massive expansion of wind power as a threat to our daily lives. In the Twilight of the West, we have grown decadent, and blithely reliant on an unseen force, for all we know a mechanical daemon in a vast dark cathedral-like mill, to ensure that the quantity of power generated is matched to the quantity that is required and that the lights never go out. Few care and even fewer know what gyrations our diabolic servant has to go through to keep us coddled. The system has not failed, there is no hint that it ever will, and all is well.
To take things to extremes for a moment: it is obvious to anyone who thinks about it for a moment that an electricity supply composed solely of wind would have a variety of innate problems. To counter periods of low production we must install far more capacity than we would need during periods of high production. But even with an average production that is too high for our needs, there will be periods of time when too little is produced. For all its putative benefits, wind power is a parasite on the electricity grid, and it is rapidly outgrowing the vital potential of the host.
So much is obvious, or should be, even for those of us who believe the electrons squirting into our houses are in fact under the command of a beast whose twenty arms are a blur of motion as it does its eternal berserk work at the nerve centre of the UK grid. However, I thought it would be informative to know just how much of the time wind will leave us short and how much of the time it will leave us with more power than we know what to do with. To answer this question I went looking for a wind power frequency distribution, and found Drew et al’s 2015 article The Impact of Future Offshore Wind Farms on Wind Power Generation in Great Britain.^ Drew et al took the measured wind field from 1980 to 2013 and used it to estimate the power output of a future wind farm population. (The future they envisaged was all Round 3 wind farms being developed, and no existing wind farms being decommissioned. There was no precise date. The result is approximately 50 GW of capacity vs. the 10.2 GW at the time of the study.)
Year-to-Year Variability
The annual capacity factor of the future wind farm distribution is consistently larger, with a range of 33.2%–45.0% and a mean value of 39.7%.
[The existing wind farms produced on average less, being smaller and mostly onshore.]
With 50 GW installed, 100% capacity factor would provide you with 438 TWh of energy each year. The capacity factors calculated by Drew et al get you 146 TWh in the lowest year and 197 TWh in the highest. Meanwhile, the “Consumer Transformation” model of Future Energy Scenarios (FES) has 890 TWh of electricity per year in 2050, of which 645 TWh comes from wind. However, of this, 145 TWh is sent to electrolysis, and 164 TWh is sent abroad* (presumably the lion’s share of these two pathways is from wind). My own estimate from the energy required by that FES scenario was for 197 GW of installed wind capacity in 2050, 4 times as much as Drew et al.
Hour to Hour Variability
This is the most interesting scale of variability because it is the kind that causes our loyal daemon the greatest panic. [Actually wind might vary significantly at shorter timescales, but Drew et al have hourly wind data.]
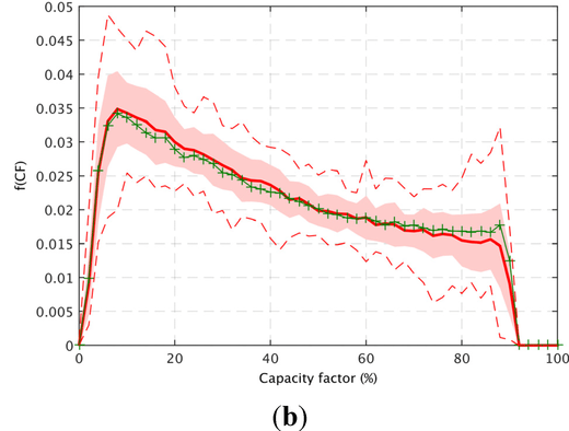
The figure (Drew et al’s Figure 5b) shows the frequency distribution of capacity factor for the future wind farm scenario, in 2% bins. [The original legend states the bin width is 1%, but that would lead to an average frequency of 0.01, which is not seen here.] The quartiles are 18%, 36% and 60% capacity, so that 25% of the time we are over 60% capacity and 25% of the time we are under 18%. The mode (to judge from the little green crosses) is 8%, showing that the capacity factor most likely to occur is below 10%.
In the next figure I have adulterated the same graph with a magenta line that represents a hypothetical electrical generator whose output is a uniform random number in the range [0,100] – the result of rolling a hundred-sided die. As you can see, it’s quite a good match. In particular I would draw your attention to the width of the wind farm power distribution, which ranges from 0 to 90%. An ideal generator would instead provide a narrow (predictable) output, preferably as close to its nameplate as possible.
Lulled into a False Sense of Security
The next figure (Drew et al’s 7b) shows the predicted duration of lulls for the current wind farms (solid line) and the future wind farms (dashed line). Thus they expect lulls where output falls below 10% capacity factor for 20 hours to occur 20 times per year.
When our capacity is 200 GW, that means that output falls to 20 GW for a prolonged period (caveat: this is a slight worst-case scenario, because it arises from scaling up Drew’s 50 GW installed to 200 GW installed without the frequency of lulls decreasing). The 645 TWh that the FES wants from wind is power at an average of c. 75 GW. This type of once-every-fortnight lull leaves us 55 GW short, which not even our demented daemon yanking a hundred levers per second can deal with.
Don’t worry Scarbo old chap! We have contingencies for keeping the lights on. Contingencies, we’ve got contingencies, right? Other sources of power, stuff like that? We’re not actually going to be relying on the wind to blow, are we?
[Insert the sound of crickets here.]
Actually the FES’s Consumer Transformation scenario does have dispatchable power in 2050. Just not much of it:

Ramping High and Low
The output from wind farms varies moment to moment on the whim of Aeolus. But naturally the longer the timescales we consider, the higher the variation. The final figure shown here is Drew et al’s Figure 11b, showing the number of hours in a year for the future scenario where a subsequent power ramp of a particular magnitude is modelled to occur. The different colours (black, red, blue) represent 12h, 6h, and 3h periods respectively. Thus there are 2000 hours in a year where a 20% change in the capacity factor of wind power would take place in the subsequent 12h (black line). Translated to 2050 (caveats apply as above) that means a swing of ±40 GW on an average demand of 75 GW.
Closing
I leave you with a quote that I already pasted into Open Mic. I have italicised a key point.
…the decarbonisation of the energy system is one of the most important climate challenges that we face at the moment, but what happens is as you increase the amount of renewables that you have in your energy system, erm, you’re also increasing the vulnerability of that system to adverse weather conditions.
And what’s interesting about this is that these weren’t adverse weather conditions ten years ago, this was just nice, pleasant weather. It’s because we’ve got more and more wind power in the system that what we need to do now is think about ways in which we can strengthen that system and make it more resilient.
–Met Office’s Tom Butcher on Inside Science, R4, 23.ix.2021
Gales? Deluges? Not a bit of it. The harbinger of our doom is now a terrifying lack of movement in the tallest branches of the giant plane tree in the park over the way. As to our loyal daemon?
But soon his body developed a bluish tint, translucent like the wax of a candle, his face blanched like melting wax – and suddenly his light went out.**
Notes and References
^Drew, D. R., Cannon, D. J., Brayshaw, D. J., Barlow, J. F., & Coker, P. J. (2015). The impact of future offshore wind farms on wind power generation in Great Britain. Resources, 4(1), 155-171. [Available at MDPI.com]
*Regarding wind power exports, Boris’s gimlet eyes probably glittered when he realised that since a) fossil fuel generation is going in the bin and b) the UK has the best wind resource in Europe, we would end up sending excess wind juice to a grateful continent. We’ll see.
**I know, Scarbo is a mischievous goblin, not an enslaved daemon. But still.
Previous episodes in this series:




Are there any grown-ups in Westminster to whom we could send this? They could certainly do with reading it.
LikeLike
Are there Anti-Green parties?
Is the Chief Rabbi a Catholic?
LikeLiked by 1 person
“UK’s green push leaves country at the mercy of the weather”
https://www.straitstimes.com/world/europe/uks-green-push-leaves-country-at-the-mercy-of-the-weather
“…The UK’s wind-power drive has dramatically cut carbon emissions, but it’s also created a vulnerability that’s been brutally exposed.
Calm weather over the past two weeks has cut output from the country’s 11,000 turbines, which account for more than 20 per cent of electricity generation….
…The crisis could also spark a fresh backlash against renewable energy and net-zero emissions targets.
That would make for an unwelcome backdrop as the UK prepares to host world leaders at a major climate summit – COP26 – in a few weeks.
Britain plans to quadruple offshore wind capacity by 2030 as part of its efforts to be net zero by 2050….
…But a smooth transition from fossils to greener fuels isn’t guaranteed, and regular capacity crunches could become the norm.
Along with worries about higher prices, that will make ambitious climate goals a much harder sell.
“This is going to be a political autumn crisis,” said professor of economic policy Dieter Helm at Oxford University, an energy policy adviser to the government.
“It goes together with the delusion that people have that net zero is almost costless. It isn’t.”…
…In the short term, the pressing problem is ensuring energy for the coming winter.
LikeLike
In an Observer article on nuclear power is this gem:
“Hinkley’s £92.50 MWh strike price has been criticized as excessive at a time when offshore wind costs are falling”
This is an apples to oranges comparison and a basic error far too common in the Guardian. Firm Power is significantly more valuable than Intermittent Power and is usually priced accordingly. And not only more valuable but essential to have available as outlined by Jit above.
https://www.theguardian.com/environment/2021/sep/25/ministers-close-to-deal-that-could-end-chinas-role-in-uk-nuclear-power-station
LikeLiked by 1 person
Those supporting offshore wind from claims that it couldn’t be relied upon because it is intermittent commonly argue that it’s always windy somewhere across the British Isles so it’s intermittent characteristic is not important. A fatuous rebuttal I think, made even more evident by this analysis.
What conclusions did Drew et al. reach from their data?
LikeLiked by 1 person
Mark, no there isn’t. Although there is a glimmer, with the Net Zero Scrutiny Group, or whatever they call themselves, having appeared on the front page of yesterday’s Telegraph. Where were they when they waved through the Net Zero target?
potentilla, my earlier “analysis” of Dudgeon would seem to be some evidence that Hinckley’s strike price is actually very good value. It may not have seemed it at the time, but times change.
Alan, there was no wailing, no hand wringing, and no gnashing of teeth. Drew et al’s conclusion was that in most respects the future wind farm population would be better than the old (obviously with a higher proportion moving offshore, and larger turbines, the overall capacity factor was higher). Because things were more spread out, lulls would be lower as a proportion of output. But since output was on average higher, the lulls would represent the loss of a larger chunk of power. The old power frequency distribution was more heavily tilted to lower values than the future one: in that respect, curiously, it was less similar to a purely random distribution.
LikeLike
I think this is what you call simplistic thinking:
“Weatherwatch: when the wind drops – keeping renewable energy supplies steady
Interconnectors – linking areas rich in hydro, wind or solar power – can help to even out fluctuations in weather”
https://www.theguardian.com/environment/2021/nov/10/weatherwatch-when-the-wind-drops-keeping-renewable-energy-supplies-steady
“When the weather is calm, wind turbines stop turning. That’s obvious, but as the UK increasingly relies on wind power generation, so an energy crunch looms if the wind doesn’t blow.
One way to smooth out the vagaries of weather for renewable energy supplies is a European super powergrid. These so-called interconnectors across national borders are already here. On 1 October, a 720km (450-mile) undersea power cable went live between the UK and Norway, the world’s longest subsea interconnector. This allows Norway to export surplus hydropower to the UK, but if water levels drop in the Norwegian hydro reservoirs during dry weather, the shortfall could be supplemented by wind generation from the UK. An even longer interconnector is proposed between the UK and Iceland, tapping into Iceland’s huge supply of renewable hydro and geothermal energy. North Africa could also be plugged in – there is an ambitious proposal to link the UK to a projected giant solar scheme in Morocco.
With the climate of northern Europe rich in wind, and southern areas with plenty of sunshine, sharing a range of renewable energies across borders helps to even out fluctuations in weather, making power supplies more secure as well as clean.”
LikeLike
“Power prices surge after low winds cause shortfall”
https://www.thetimes.co.uk/article/power-prices-surge-after-low-winds-cause-shortfall-v6k208lbq
“Low wind speeds pushed UK power prices to the second-highest level on record yesterday, forcing the grid to switch to gas-fired power plants and draw on coal generation.
Prices for the hour between 5pm and 6pm rose to £2,000.01 per megawatt-hour in the N2EX day-ahead auction for Monday, with wind-power generation falling to the lowest level for 56 days, according to Bloomberg. Coal plants were picking up some of the shortfall but a strike in France is further limiting supplies.
The French strike has cut output from Électricité de France’s generation fleet by about two gigawatts. This will reduce the amount of supply that can be exported to Britain along two key interconnectors. A limit on flows through the North Sea Link, which has been…”.
Unfortunately the rest is behind a paywall, but you get the gist.
LikeLike
As mentioned by Mikehig in Open Mic, today’s output by wind power reminds us how useless wind is if you want electricity you can rely on. Here is the situation offshore, which is supposed to be more reliable:
Earlier today the offshore output had dipped to essentially zero. It is now supplying 0.6% of the UK’s needs (6pm, 28.xi.2022):

https://www.thecrownestate.co.uk/en-gb/what-we-do/asset-map/#tab-2
LikeLike
As a follow-on to that, just now we are importing 19% of our electricity. Fossil fuels are providing 58.4% (56% from gas and 2.4% from coal); wind is producing 1.9% and solar obviously producing 0%, while hydro is producing 2.6%; nuclear is 9.9% and biomass is 5.1%. Demand is 40.1 GW but generation is only 32.5 GW.
LikeLike
Update – the gap between demand and production just widened by 0.1GW, and imports have taken up the slack – now at 19.2%.
LikeLike
LikeLike
JiT: thanks for that chart and the link – very useful.
Let’s not forget that the drop in output is worse than shown in the public charts because they do not show “embedded” power. I have no idea how much wind capacity is in that category but it may be substantial: I was surprised to learn that embedded generation – of all types – accounts for nearly 30% of the total UK capacity.
LikeLike
“Scotland’s biggest offshore wind farm at full power”
https://www.bbc.co.uk/news/uk-scotland-67126815
I’m intrigued by the headline. Was it really operating at 100% of its nameplate capacity?
I’m also intrigued by this statement:
Can, not will, of course. Deeply misleading. But equally relevant, why is the Scottish government looking to massively increase its wind capacity, several-fold, given this information? When the wind blows, they have all the wind farms they need. When the wind doesn’t blow, it’s useless, regardless of how many they have. 5 x 0 is still 0.
LikeLike